General Information
C1208 Wheel Speed Sensor Rear-LH Invalid/no Signal
General Information
Component Location

General Description
The wheel speed sensor is the essential component the ABS ECU uses to calculate vehicle speed and to determine whether wheel lock occurs.
For example, rear wheel speed signal is used as a reference value, for vehicle speed, in front wheel drive vehicles, and if a difference between front and rear wheel speed occurs, then ABS control is performed.
Wheel speed sensor is active hall-sensor type.

DTC Description
The ABS ECU monitors the wheel speed sensor signal continuously.
This code is set when there is no wheel speed signals within 10 ms to 20 ms at a vehicle speed > 43.2 km/h or a deviation between sensors exceed the threshold or one or two wheels are at 2.75 km/h while the vehicle speed is at 12 km/h.
Warning lamp is turned OFF unless fault is detected any more when the IG KEY is turned ON again, and wheel speed is more than 12 Km/h.
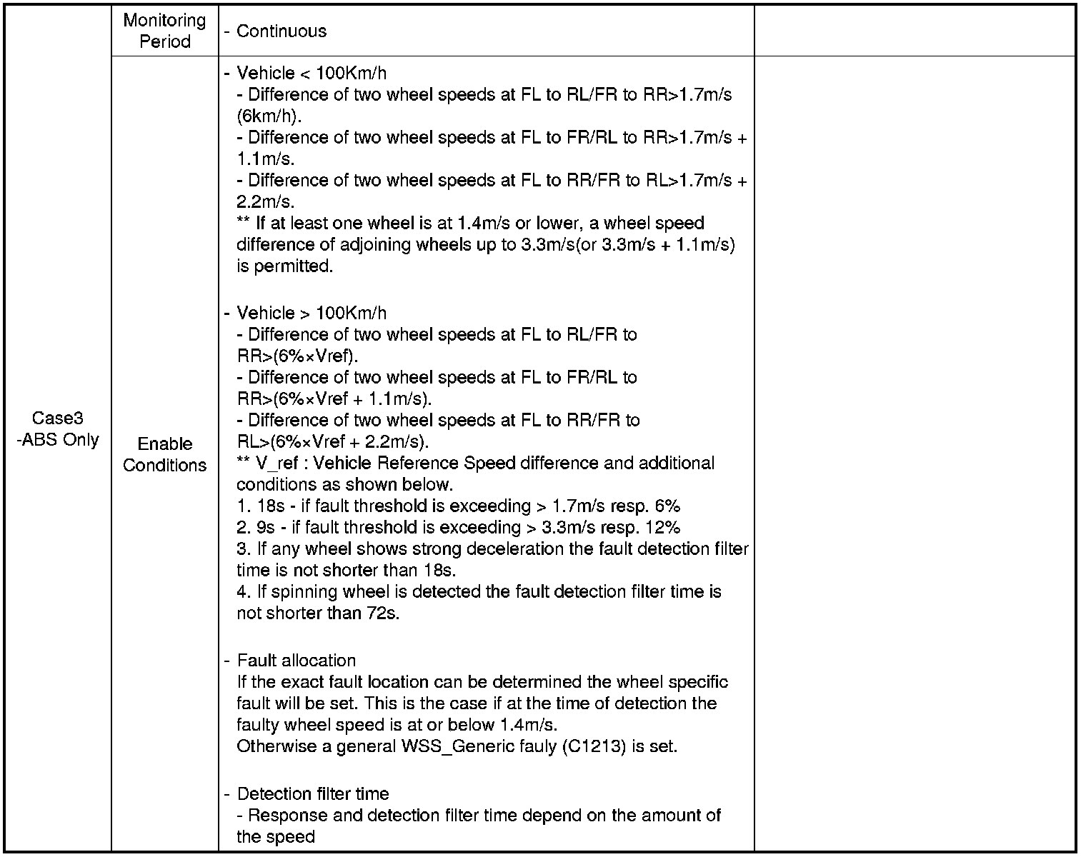
DTC Detecting Condition



Specifications

Diagnostic Circuit Diagram

Signal Waveform & Data

Fig.1) Normal waveform of wheel speed sensor with low speed condition